Source: View original notebook on GitHub
Category: Machine Learning / Learn ML
Closed Form Solution for Linear Regression
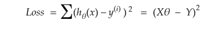
Loss function : -
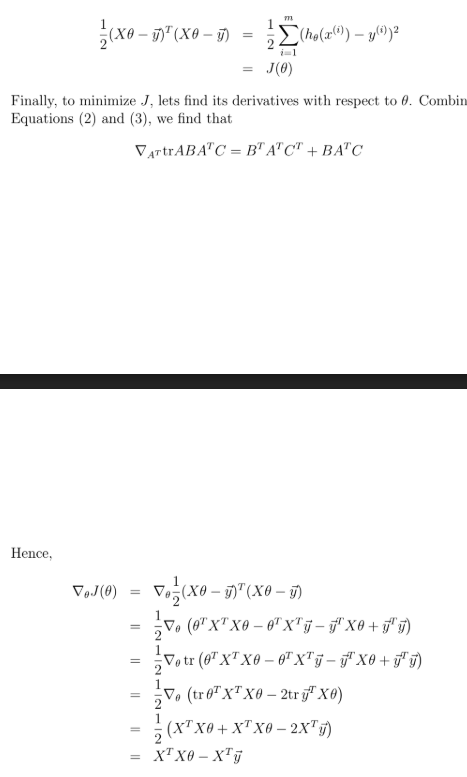
- this is derived the same way as we solved for gradient descent or by method1 (formula) by equating the derivative of loss funciton to zero.(just in matrix notation)
- solving further , theta vector results in
Derivation(Thank you Prateek Bhaiya)
- here X is (n_samples, n_features+1) containing X[:,0](first column) being all 1
Code
import numpy as np
import pandas as pd
import matplotlib.pyplot as plt
X = pd.read_csv('Datasets/linearX.csv',delimiter=',')
Y= pd.read_csv('Datasets/linearY.csv',delimiter=',')
# adding oth column with all ones
ones = np.ones(X.shape[0])
X = np.column_stack((ones,X))
plt.scatter(X[:,1],Y)
plt.show()
def hypo(X,theta):
return theta[0] + theta[1]*X
def closed_form_solution(X,Y):
first_part = np.linalg.pinv(X.T @ X)
second_part = X.T @ Y
return (first_part @ second_part).flatten()
# @ is used for matrix multiplication
theta = closed_form_solution(X,Y)
theta
Output:
array([9.90309198e-01, 7.85559346e-04])
intercept = theta[0]
slope = theta[1]
Y_pred = hypo(X[:,1],theta)
plt.scatter(X[:,1],Y,marker = '*')
plt.plot(X[:,1],Y_pred, 'r')
plt.show()
from sklearn.metrics import r2_score
score = r2_score(Y,Y_pred)
score
Output:
0.43818504557919835
