Source: View original notebook on GitHub
Category: Machine Learning / Learn ML
Logistic Regression(Classification Algorithm)
Although name has Regression in it but it is a Classification Algorithm
in classification problems we deal with the data which is qualitative or categorical(like eyes color -blue,green,red etc).
values are discrete values, hence are grouped into classes
so in Classification , we have classes , our goal is to predict the class of a new sample or to which class it belongs to.
for that we make a
decision boundaryto seperate one class data points clusters from other.in total we have
Kc2boundaries, where k is the number of the number of classes our data have.
Binary Classification
- Let for simplicity (for now), we are taking data with two class only hence it is Binary Classification.
Using Logistic Regression for Binary Classification
- since our data have two classes , lets say 0 and 1 , we need to predict 0 and 1 only.
- let our decision Boundary be Linear in nature just like in case of Linear Regression ,written as
h(X) = theta[0] + theta[1]*X1 + theta[2]*X2 + ........
- but there is one Problem with this function ,its value ranges from (-inf to inf), hence cannt be used here.
- To solve this Problem we defined a Sigmoid Function as `g(Z) = 1/1+e^(-h(x))`,which always results in values (0,1), both excluded, hence can be used in our Binary Classification.

Visualizing sigmoid Function
import numpy as np
import matplotlib.pyplot as plt
def sigmoid(x):
return 1 / (1 + np.exp(-x))
x = np.arange(-10,10,0.01)
y = sigmoid(x)
plt.plot(x,y)
plt.yticks(ticks=[0,0.5,1])
plt.grid()
plt.show()
Logistic Regression Intuition
- since in Linear Regression, we got a line h(x), similarly we got it here but also passing it to sigmoid function.
- here we will train our Algorithm that if we got a line and
- if h(x) = (theta.T)*X >=0 ,then we say the points(mostly) lies on one side will belong to Class 1.
- else if h(x)< 0, we got all the remaining points lies on other side will belong to Class 0.
- this is true because all we want is that boundary only.
- according to that if h(x)>=0, then g(h(x)) >=0.5 (see from the graph) else we will have <0.5
- so our hypothesis becomes , if g(h(x))>=0.5 , we will get class 1 ,otherwise clas 0
Conclusion
- in conclusion we can say that more the probability,better is the chance it belongs to class 1.
Goal of Logistic Regression
we will write , theta as w
we can say that
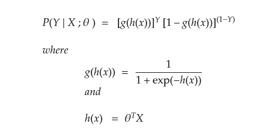
- P(Y=1|X;w) = g(h(x))
- P(Y=0|X;w) = 1 - g(h(x))
why? because if g(h(x)) comes out to be greater than 0.5 , there is more chance ,it belongs to class 1.
- we can write that down in one line as
- that is for one point only, the likelihood that it belongs to a class

Assumption (Samples are Independent from each others)
since we want likelihood of all the INDEPENDENT points , we got it as the product of them , GOAL: - we want to maximize the likelihood that it belongs to same class as it should be.
Above, we used the fact that g′(z) = g(z)(1 − g(z)). This therefore gives us the stochastic gradient descent rule
θj := θj - α(hθ(x(i)-y(i))*x(i)j)
If we compare this to the LMS update rule, we see that it looks identical; but this is not the same algorithm, because hθ(x(i)) is now defined as a non-linear function of θTx(i) .
Nonetheless, it’s a little surprising that we end up with the same update rule for a rather different algorithm and learning problem. Is this coincidence!
